CRT
Cooperativa Ricerca
sul
Territorio
CRT
Cooperativa Ricerca
sul
Territorio
HOME
CHI SIAMO
DOVE SIAMO
CONTATTI
CRT
Cooperativa
Ricerca sul
Territorio
ECOMUSEO DEL LITORALE ROMANO
ECOMUSEO DEL LITORALE ROMANO
Via del Fosso di Dragoncello 168 - 172
00124 Roma
tel. 06 5650609 - 065651764
cell. 338 2074283 - 3332266927
crt.ecomuseo@gmail.com
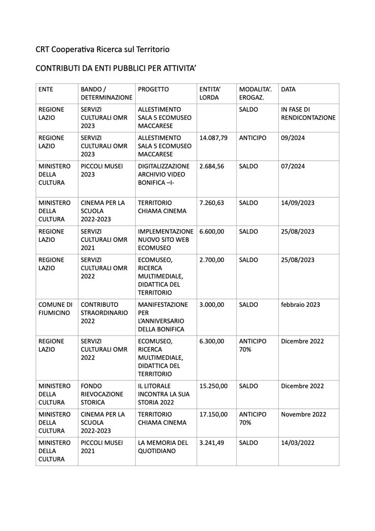
Contributi ricevuti 2024-2025